Transpharmation Logo
  • Contact Us

Models & Assays

Mice Diet-Induced Obesity

Obesity Model Introduction

The Diet-Induced Obesity (DIO) model is a well-established preclinical platform for in vivo metabolic studies and assessing the efficacy of anti-obesity therapies. In this model, mice are maintained on a high-fat, high-calorie diet over an extended period, resulting in progressive weight gain, increased adiposity, impaired glucose tolerance, insulin resistance, and other metabolic disturbances that closely mirror human obesity. This gradual onset of obesity captures both early metabolic adaptations and later pathological changes, providing a physiologically relevant framework for evaluating therapeutic interventions in a controlled setting.

Sex-Specific Responses in the Diet-Induced Obesity (DIO) Model

Although both male and female mice develop obesity in response to a high-fat diet, the trajectory of weight gain and the severity of associated metabolic disfunctions differ between sexes. Accordingly, we offer DIO models in both male and female mice enabling comprehensive evaluation of sex-specific drug responses.

In recent years, GLP-1 medications have taken center stage in the medical landscape, reshaping treatment paradigms through their breakthrough mechanisms of action, proven clinical effectiveness, and exceptional growth potential.

In our model, Semaglutide significantly reduced body weight in male individuals and decreased total fat mass in both female and male subjects. Importantly, Semaglutide exhibited a favorable safety profile with no adverse effects on skeletal muscle or liver. Treatment was also associated with improvements in metabolic parameters and a marked attenuation of obesity-associated chronic low-grade inflammation.

Methodology and Model Description

DIO study design schematic
Schematic overview of the experimental design, identical for both sexes (male and female mice). At weeks 4, 8, and 12 of the diet, and at weeks 2 and 4 of pharmacotherapy, body composition was measured using TD-NMR, and intravital samples were collected for biochemical analyses. Additionally, at week 12 of the diet and at the end of the therapy, oral glucose tolerance (OGTT) and insulin tolerance (ITT) tests were performed.

We utilized the diet-induced obesity (DIO, 60% kcal from fat) mouse model, a well-established and reproducible experimental system for investigating obesity and associated metabolic disorders. This validated model enables systematic examination of obesity onset and progression and provides a robust platform for evaluating potential therapeutic interventions.

Animals were maintained on a high-fat diet for 12 weeks. Metabolic characterization was performed at weeks 4, 8, and 12 of dietary intervention through biochemical analysis of parameters measured in blood samples collected in vivo. Body composition was assessed at the same time points using time-domain nuclear magnetic resonance (TD-NMR), and OGTT and ITT were performed at week 12 of the diet, and at the end of the intervention.

Results

Body Weight and Body composition

A
Male DIO body weight over time Male DIO total body fat over time
B
Female DIO body weight over time Female DIO total body fat over time
Body weight and body composition in males (A) and females (B) DIO mouse models. Animals were weighed twice per week during the obesity induction period, and body composition was measured at week 4, 8 and 12. Compared to the Chow diet group, the male mice of the DIO group showed significant increase in body weight from week 3 until the end of the induction period and increase total body fat content from week 4 until week 12. Female mice in the DIO group exhibited a pronounced increase in body weight starting at week 5, continuing through the end of the induction period, along with a significant increase in total body fat content from week 8 to week 12. Values are shown as mean ±SEM (n=20 for DIO, n=10 for Chow). Data were analyzed by 2-way ANOVA followed by Fisher’s LSD test.

Blood biochemical analysis

Blood biochemical analysis in male and female DIO mice
Blood biochemical analysis in males and females DIO models. Serum concentrations of glucose, triglycerides (TGA), and total cholesterol were measured in diet-induced obese (DIO) and wild-type C57BL/6 mice maintained on a chow diet (control) at 4, 8, and 12 weeks of feeding regimen. In male DIO mice, serum glucose, TGA, and total cholesterol levels were significantly higher than those in control mice at 8 and 12 weeks. In female DIO mice, significant increases were observed as early as 4 weeks, with all metabolic parameters markedly elevated by 12 weeks of high-fat diet exposure. Data was shown as Mean ± SEM (*p<0.05, **p<0.01, ***p<0.001, ****p<0.0001).
Serum enzymatic biomarker panel in DIO mice
Enzymatic biomarkers panel. At week 12 of the diet, serum enzyme levels in both male and female mice were assessed, including creatine kinase (CK) as a marker of muscle integrity, digestive enzymes such as α-amylase and lipase, and enzymes indicative of liver health, including alanine aminotransferase (ALT) and lactate dehydrogenase (LDH). In female mice, obesity was associated with reduced levels of α-amylase and DGGR lipase. Moreover, increased serum alanine aminotransferase (ALT) levels were detected in both females and males, suggesting hepatocellular damage. Data was shown as Mean ± SEM (*p<0.05, **p<0.01, ***p<0.001, ****p<0.0001).

Glucose tolerance tests

A
Male DIO OGTT glucose curve Male DIO OGTT area under curve
B
Female DIO OGTT glucose curve Female DIO OGTT area under curve
Glucose tolerance tests of DIO male (A) and DIO female (B) mice. DIO mice were maintained on a high-fat diet for 12 weeks. Following a 6-hour fast, mice received an oral glucose dose of 2 g/kg. Blood glucose levels were recorded at baseline (prior to administration) and at 15-, 30-, 60-, and 120-minutes post-administration. (A) Glucose tolerance ability after 12 weeks obesity induction, and Area under curve in males. (B) Glucose tolerance ability after 12 weeks obesity induction, and Area under curve in females. Data was shown as Mean ± SEM. (*p<0.05, **p<0.01, ***p<0.001, ****p<0.0001).

Insulin tolerance tests

A
Male DIO ITT glucose curve Male DIO ITT area under curve
B
Female DIO ITT glucose curve Female DIO ITT area under curve
Insulin tolerance tests of DIO male (A) and DIO female (B) mice. DIO mice were maintained on a high-fat diet for 12 weeks. After a 4-hour fast, they received an intraperitoneal injection of insulin at a dose of 0.75 U/kg. Blood glucose levels were measured at baseline (prior to injection) and at 30-, 60-, and 120-minutes post-injection. (A) Insulin sensitivity after 12 weeks obesity induction, and Area under curve in males. (B) Insulin sensitivity after 12 weeks obesity induction, and Area under curve in females. Data was shown as Mean ± SEM. (*p<0.05, **p<0.01, ***p<0.001, ****p<0.0001).

Functional Readouts in DIO Mice: Locomotor Activity and Grip Strength

A
Male DIO locomotor activity
B
Female DIO locomotor activity
Locomotor activity of DIO males (A) and females (B) mice. Locomotor activity was assessed in a 10-minute open-field test under dim lighting conditions (30 lux), with data recorded using the ANY-maze software. Following 12-week obesity induction period male mice showed decreased locomotor activity relative to chow-fed controls. Data was shown as Mean ± SEM. (***p<0.001).
C
Male DIO grip strength
D
Female DIO grip strength
Grip strength of DIO males (C) and females (D) mice. Forelimb muscle strength was measured using BIOSEB's Grip Strength Test and expressed as gram-force (gf)/ g body weight, calculated as the average of 3–5 trials. In DIO mouse models, both male and female animals exhibited a statistically significant reduction in muscle strength compared with chow-fed controls. Data was shown as Mean ± SEM. (***p<0.001, ****p<0.0001).

In vivo efficacy of Semaglutide in DIO mice models

DIO induction and semaglutide treatment timeline
Semaglutide efficacy in DIO mice
Anti-obesity effect of Semaglutide in DIO mice models. DIO mice were maintained on a high-fat diet for 12 weeks (gray-shaded area) to induce obesity. Following randomization, semaglutide was administered daily via subcutaneous injection for 4 weeks. (A) Effect of Semaglutide on body weight in male subjects. (B) Effect of Semaglutide on body weight in female subjects. (C, D) Total fat content and fasting glucose level in males after 4 weeks Semaglutide therapy. (E, F) Total fat content and fasting glucose level in females after 4 weeks Semaglutide therapy. Data shown as mean ± SEM (*p<0.05, **p<0.01, ***p<0.001, ****p<0.0001).

Midway Insights: Biochemical Changes During Treatment

Leveraging in vivo, minimally invasive submandibular vein sampling, we were able to track dynamic changes in biochemical parameters throughout drug administration. This approach enabled repeated measurements with minimal stress to the animals, offering real-time insight into how key biomarkers respond during therapy.

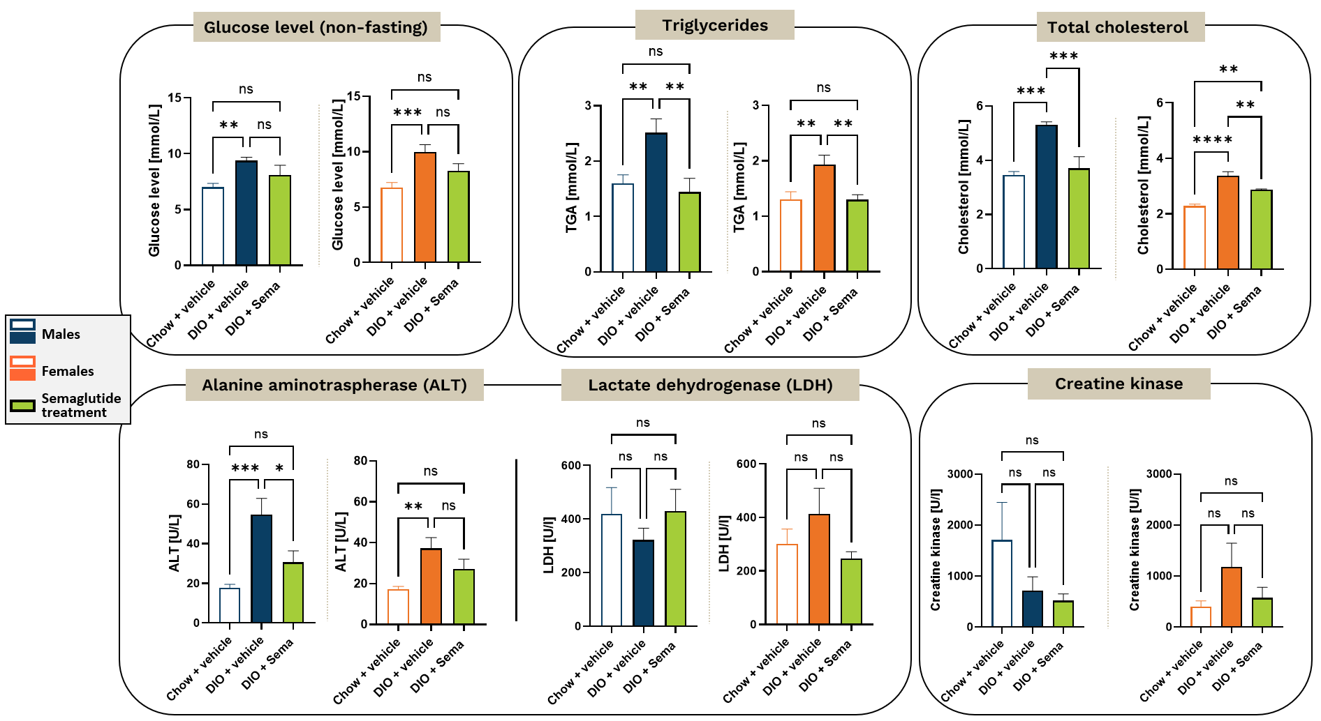
Midway blood biochemical analysis during semaglutide treatment (panel 1)
Midway blood biochemical analysis during semaglutide treatment (panel 2)
Blood biochemical analysis after 2 weeks of daily Semaglutide treatment in male and female DIO models. Data was shown as Mean ± SEM, n=4-18 mice per group. *p<0.05, **p<0.01, ***p<0.001, ****p<0.0001.

Impact of 28-Day Treatment on Glucose and Insulin Tolerance Tests

A
Male DIO OGTT after semaglutide (glucose curve) Male DIO OGTT after semaglutide (area under curve)
B
Male DIO ITT after semaglutide (glucose curve) Male DIO ITT after semaglutide (area under curve)
Semaglutide improves OGTT (A), and ITT (B) of DIO male mice. For the OGTT, mice were fasted for 6 hours, and for the ITT, they were fasted for 4 hours. Subsequently, mice received either an oral glucose dose of 2 g/kg or an intraperitoneal insulin injection of 0.75 U/kg. Blood glucose levels were measured at baseline (prior to administration) and at 15, 30, 60, and 120 minutes for OGTT, and at 30, 60, and 120 minutes for ITT. (A) Glucose tolerance ability after 4 weeks Semaglutide treatment, and Area under curve. (B) Insulin tolerance test after 4 weeks Semaglutide treatment, and Area under curve. Data was shown as Mean ± SEM. (*p<0.05, **p<0.01, ***p<0.001, ****p<0.0001).
A
Female DIO OGTT after semaglutide (glucose curve) Female DIO OGTT after semaglutide (area under curve)
B
Female DIO ITT after semaglutide (glucose curve) Female DIO ITT after semaglutide (area under curve)
Semaglutide improves OGTT (A) of DIO female mice. Mice were fasted for 6 hours prior to the OGTT and 4 hours prior to the ITT. They then received either an oral glucose dose of 2 g/kg or an intraperitoneal insulin injection of 0.75 U/kg. Blood glucose levels were measured at baseline (before administration) and at 15, 30, 60, and 120 minutes for OGTT, and at 30, 60, and 120 minutes for ITT. (A) Glucose tolerance ability after 4 weeks Semaglutide treatment, and Area under curve. (B) Insulin tolerance test after 4 weeks Semaglutide treatment, and Area under curve. Data was shown as Mean ± SEM. (*p<0.05, **p<0.01, ***p<0.001, ****p<0.0001).

Exemplary Serum Cytokine Levels Measured Using Meso Scale Discovery (MSD) Platform after 28-days therapy

Serum cytokine levels (MSD panel 1)
Serum cytokine levels (MSD panel 2)
Using the Meso Scale Discovery (MSD) platform, we simultaneously analyzed multiple cytokine panels from minimal serum volumes collected at the end of therapy. This high-content immunoprofiling demonstrated that semaglutide significantly attenuates obesity-associated inflammation, providing strong evidence of its beneficial immunometabolic effects and further reinforcing its comprehensive therapeutic profile across metabolic endpoints. Data was shown as Mean ± SEM. (*p<0.05, **p<0.01, ***p<0.001, ****p<0.0001).

Company

  • Our Team
  • Publications
  • News
  • Careers
  • Animal Welfare
  • Privacy Policy
  • Accessibility Policy
  • Cookies Policy

Services

  • Abuse Liability / Substance Use Disorders
  • Alzheimer's Disease
  • Bioanalytical Studies
  • CNS Drug Disposition
  • Cognitive Assessment
  • Depression/Anxiety
  • Dermatology
  • EEG
  • Epilepsy
  • Essential Tremor
  • Imaging
  • Inflammatory Pain
  • Inflammation
  • Medical Cannabis
  • Metabolic Disorders
  • Migraine
  • Molecular Biomarkers
  • Multiple Sclerosis
  • Neuropathic Pain
  • Operant Platform
  • Osteoarthritis
  • Parkinson's Disease
  • PK/PD Studies
  • PK-Bridge
  • Psychedelics
  • PXB Mouse Studies
  • Safety Studies
  • Schizophrenia
  • SPIDAR
  • Veterinary Research
North America
1-548-538-2371
Europe
+44 (0)130 440 3165
Contact us

© 2026 Transpharmation™. All Rights Reserved.
Sitemap
LinkedIn account
Youtube account