Models & Assays
Place Conditioning
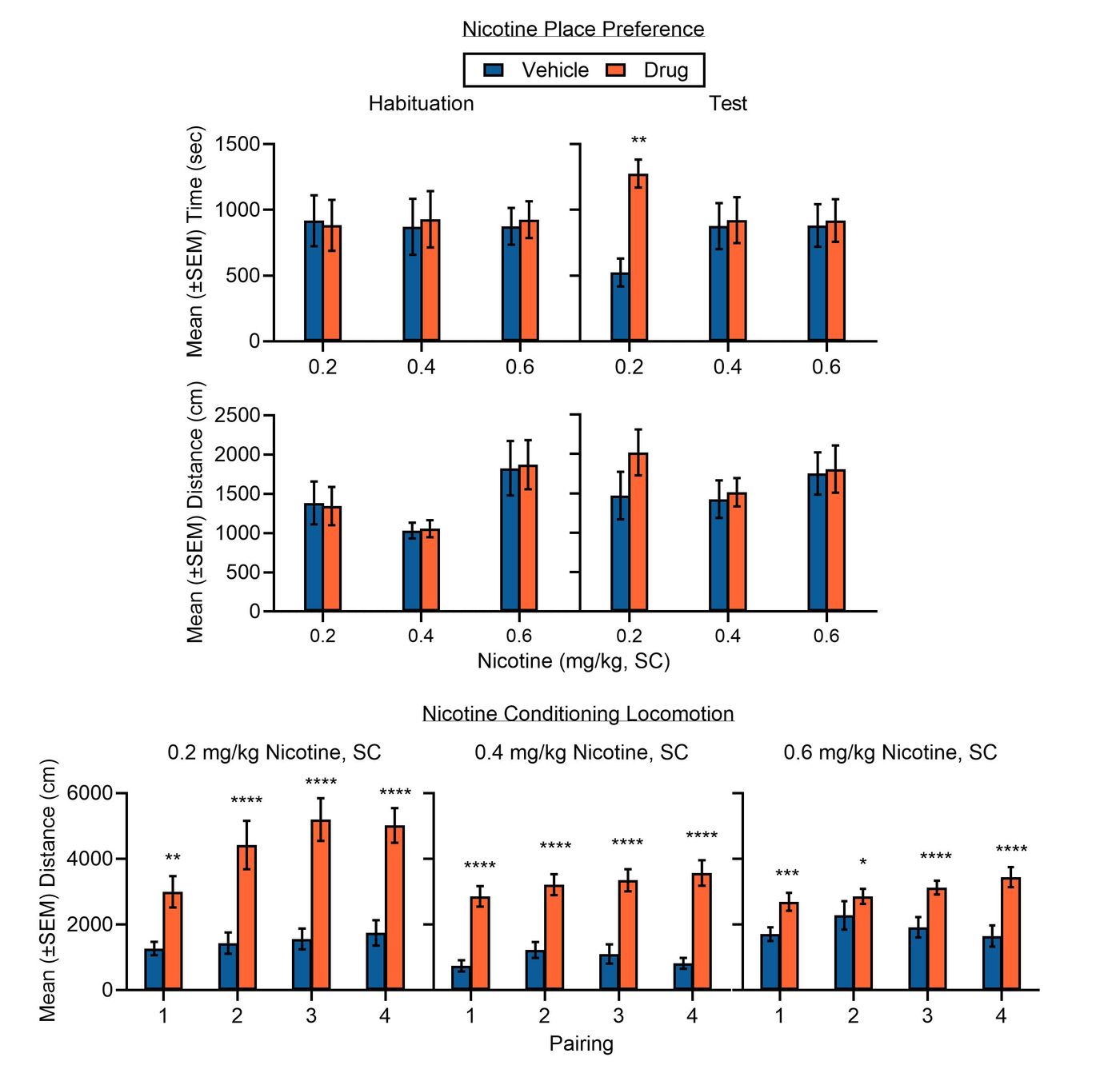
Place conditioning assesses the motivational effects of compounds including reward and aversion. Safety studies examine the motivational effects of a novel compound, while efficacy studies assess the ability of a compound to modulate the rewarding and aversive effects of drugs of abuse.
Morphine

Heroin

Nicotine
