Transpharmation Logo
  • Contact Us

Models & Assays

Drug Self-administration

Self-administration is the gold-standard for assessing reinforcement. Self-administration studies assess voluntary consumption of a compound. Safety studies examine the ability of a novel compound to maintain operant responding for drug delivery compared to vehicle and a drug of abuse from the same class or therapeutic category. Efficacy studies evaluate whether a novel compound can reduce reinforcement of a known drug of abuse. Transpharmation offers oral and intravenous self-administration using a variety of schedules of reinforcement.

Aspects of self-administration:

  1. Acquisition
  2. Dose-response
  3. Drug pretreatment
  4. Progressive ratio (motivation)
  5. Reinstatement (model of relapse)

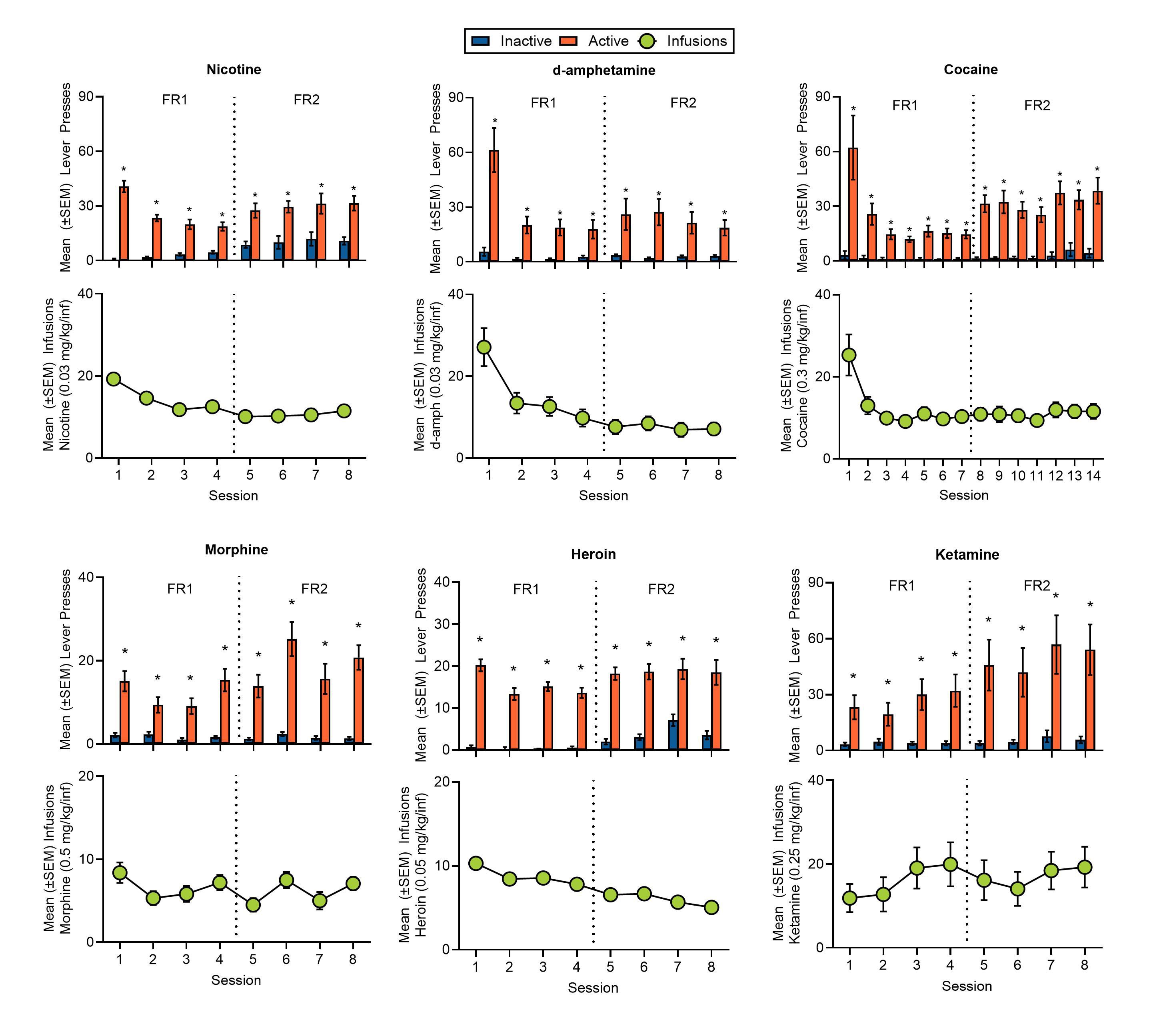
Acquisition of IV reinforcers

Acquisition of IV reinforcers chart showing operant responding for various IV reinforcers
Data presented: Subjects (n=16 Male Sprague-Dawley rats) acquired appropriate discrimination between active and inactive levers for all IV reinforcers tested during daily 1 hr sessions in an operant chamber.

Acquisition of 15% Ethanol Self-administration

Acquisition of 15% Ethanol Self-administration chart showing lever pressing behavior
Data presented: Male and female Wistar rats (n=16 per sex) acquired appropriate discrimination between active and inactive levers when responding for access to 15% EtOH with and without 2% sucrose during daily 45-min sessions in an operant chamber.

Dose-response of IV reinforcers

Dose-response chart showing IV reinforcer intake across different doses
Data presented: Male Sprague-Dawley rats (n=16 per group) modulate their behaviour and intake depending on the intravenous dose per infusion they are responding for.

Time-course data for IV reinforcer dose-response

Time-course data chart for IV reinforcer dose-response showing behavior over time
Data presented: Male Sprague-Dawley rats (n=16 per group) modulate their behaviour and intake depending on the intravenous dose per infusion they are responding for.

IV Self-administration: Drug Pretreatment

IV Self-administration Drug Pretreatment chart showing effects of Varenicline and Lorcaserin
Data presented: The smoking cessation therapy, Varenicline (α4β2 nicotinic receptor partial agonist), dose-dependently reduced responding for, and intake of, IV nicotine on a fixed ratio 2 and progressive ratio schedule of reinforcement. The 5-HT2C agonist, Lorcaserin, dose-dependently reduced responding for, and intake of, IV cocaine on a fixed ratio 2 and progressive ratio schedule of reinforcement (n=16 male Sprague-Dawley rats per reinforcer). The fixed ratio 2 schedule assesses basic consumption, while the progressive ratio schedule assesses motivation to consume the IV reinforcer.

Drug pretreatment on Oral EtOH Self-administration

Drug pretreatment chart showing 5-MeO-DMT effects on Oral EtOH Self-administration
Data presented: There is emerging evidence in humans that the 5-HT receptor agonist and potent psychedelic, 5-MeO-DMT, could be effective in treating alcohol use disorder (AUD). However, this therapeutic effect hasn’t been reproduced or systematically studied in a preclinical model. Here, we established a preclinical model and found that 5-MeO-DMT dose-dependently reduced responding for, and intake of, EtOH (sweetened or unsweetened), along with associated blood ethanol concentration, without altering responding for or intake of 2% sucrose (n=16 male Wistar rats).

Self-administration: Reinstatement (model of relapse)

Self-administration Reinstatement chart showing relapse model with drug cues and primes
Data presented: Reinstatement is a model of relapse wherein subjects that previously self-administered IV drug (nicotine, d-amphetamine, cocaine, heroin) undergo extinction. During extinction (i.e., Ext), subjects respond for vehicle and responding diminishes over time. Drug-seeking can be instigated by presentation of drug-paired cues (i.e., Cue), or a drug prime prior to a session in an operant chamber where subjects respond for vehicle (i.e., Drug+Cue). Drug primes included nicotine (0.15 mg/kg, SC), d-amphetamine (0.5 mg/kg, SC), cocaine (10 mg/kg, IP), or heroin (0.25 mg/kg, SC).

Drug pretreatment on Reinstatement

Drug pretreatment chart showing Varenicline and Lorcaserin effects on reinstatement
Data presented: In subjects previously trained to self-administer IV nicotine, the smoking cessation therapy Varenicline dose-dependently blocked nicotine-induced reinstatement of nicotine-seeking (n=16 male Sprague-Dawley rats). In subjects previously trained to self-administer IV cocaine, the 5-HT2C agonist Lorcaserin blocked cocaine-induced reinstatement of cocaine-seeking (n=16 male Sprague-Dawley rats).

Drug pretreatment on Reinstatement

Drug pretreatment chart showing naltrexone effects on heroin reinstatement
Data presented: Male and female Sprague-Dawley rats (n=16 per sex) that first self-administered IV heroin, extinguished responding during extinction, and then tested for reinstatement. Both drug-paired cues and a heroin drug prime (0.25 mg/kg, SC) significantly reinstated heroin-seeking responses, and this reinstatement was blocked by pretreatment with naltrexone.

Company

  • Our Team
  • Publications
  • News
  • Careers
  • Animal Welfare
  • Privacy Policy
  • Accessibility Policy
  • Cookies Policy

Services

  • Abuse Liability / Substance Use Disorders
  • Alzheimer's Disease
  • Bioanalytical Studies
  • CNS Drug Disposition
  • Cognitive Assessment
  • Depression/Anxiety
  • Dermatology
  • EEG
  • Epilepsy
  • Essential Tremor
  • Imaging
  • Inflammatory Pain
  • Inflammation
  • Medical Cannabis
  • Metabolic Disorders
  • Migraine
  • Molecular Biomarkers
  • Multiple Sclerosis
  • Neuropathic Pain
  • Operant Platform
  • Osteoarthritis
  • Parkinson's Disease
  • PK/PD Studies
  • PK-Bridge
  • Psychedelics
  • PXB Mouse Studies
  • Safety Studies
  • Schizophrenia
  • Veterinary Research
North America
1-548-538-2371
Europe
+44 (0)130 440 3165
Contact us

© 2026 Transpharmation™. All Rights Reserved.
Sitemap
LinkedIn account
Youtube account