
Expanding Scientific Possibility
At Transpharmation, our preclinical platforms continue to evolve to better support the drug discovery and development goals of our clients. This month, we’re highlighting advancements in:
- Abuse Liability and Substance Use
- AI-Powered Detection for Epilepsy
- Diet Induced Obesity and Metabolic
If you’re interested in advancing your next therapeutic program, these featured capabilities may offer valuable scientific insight.

Substance Use Disorder
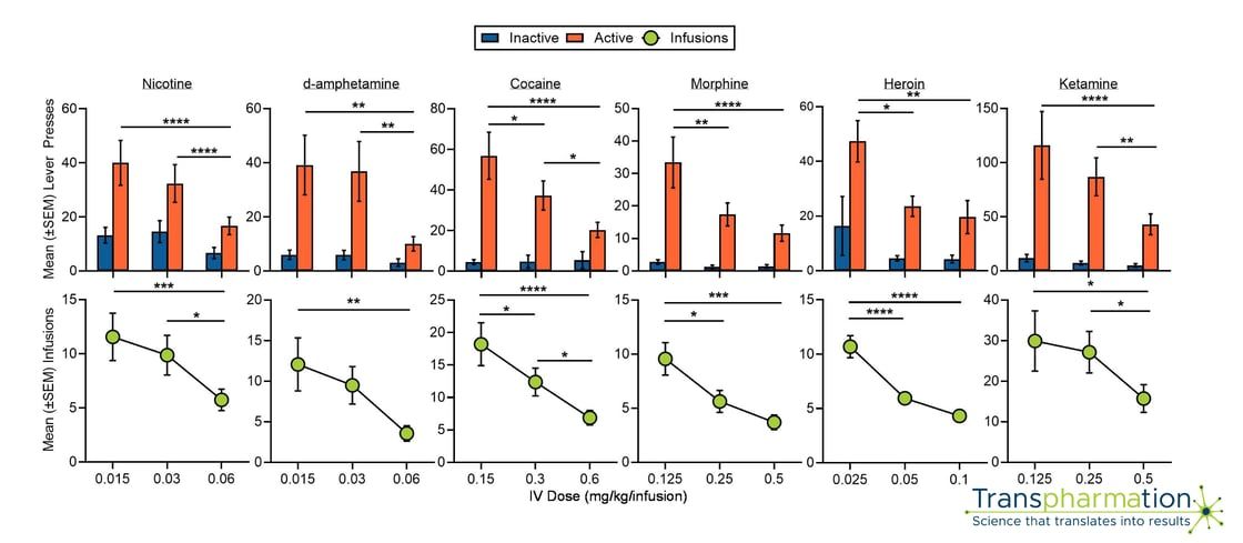
Whether you are advancing a novel therapy for substance use disorders or proactively evaluating abuse liability to de-risk your program, partnering with the right CRO is critical. You need a partner with the scientific depth, operational excellence, and proven experience to generate clear, decision-enabling data. At Transpharmation, our dedicated team of experts have extensive experience working with a wide range of reinforcers spanning multiple classes of drugs of abuse.

This graph displays operant responding for and IV consumption of common drugs of abuse across multiple doses in male Sprague-Dawley rats.

At Transpharmation, we also offer detailed time-course data that enables precise evaluation and comparison of response patterns throughout a session for different compounds and dose levels. This approach can also provide insight into the onset, magnitude, and duration of a drug pretreatment.
This graph shows cumulative drug-seeking responses within a session for different doses of IV reinforcers in male Sprague-Dawley rats.
Transpharmation has state-of-the-art bespoke laboratories ready to evaluate your compounds today. Please contact us to discuss your needs and we will create a custom solution for you.
Explore Abuse Liability capabilities.

AI Effectively Identifies Novel Seizure-Related Behaviors in Preclinical Studies
Sharing a snapshot from our growing MoSeq capabilities: AI powered Motion Sequencing measuring previously undetectable microbehaviors.
With this approach, we can quantify both the decline in natural behavioural syllables and the emergence of subconvulsive PTZ-related microbehaviors.
MoSeq objectively distinguishes subtle patterns that conventional scoring cannot. In a single study, MoSeq was able to differentiate multiple subtypes of twitching with subtle patterns that are indistinguishable by conventional scoring, depicted in the video below.
How are you navigating the Neuroscience landscape in the age of AI? Please reach out and we can discuss how this can benefit your drug discovery program.
Explore Epilepsy capabilities.

Looking for a Reliable Obesity Model?
We offer a well-validated Diet-Induced Obesity (DIO) model ideal for testing anti-obesity therapies. Our mice develop a stable obese and metabolic phenotype, including increased body weight, elevated glucose levels, and impaired glucose tolerance.
After treatment with semaglutide, the model shows clear metabolic improvement—demonstrating strong responsiveness to therapeutic intervention.
We also provide advanced body composition analysis and comprehensive biochemical profiling, giving you precise, high-resolution data for your studies.
Please contact us to speak with our experts about integrating our DIO model into your development strategy.


Explore Metabolic capabilities further.
Meet with us at these upcoming conferences:
Psychedelic Therapeutics and Drug Discovery Conference
- New Orleans, USA
- February 26-27, 2026
Animal Health Nutrition & Tech Innovation Conference (Europe) AHNTI
- London, UK
- March 2-4, 2026
International Conference on Alzheimer's and Parkinson's Diseases and Related Neurological Disorders
- Copenhagen, Denmark
- March 17-21, 2026
BIO Europe Spring
- Lisbon, Portugal
- March 23-25, 2026
- the best validated assays to identify drugs for the quickest time to market
- bespoke laboratories with custom capabilities to suit your needs
